Présentation

🚀 Passionné par le développement web, mobile et logiciel, je possède 3 ans d'expérience professionnelle et 6 ans d'expérience scolaire et personnelle dans ce domaine. Mon parcours m'a permis de développer de solides compétences en autonomie, polyvalence et expertise technique, me permettant de mener à bien un projet de sa conception à son déploiement.

💼 Actuellement en mission chez CGI, je participe au développement d'un outil web sur-mesure en PHP / Symfony, pensé pour harmoniser les processus métiers dans un contexte multi-filières. L'application couvre un périmètre complet de gestion, allant du suivi des productions aux acteurs terrain.

🔧 Mes missions techniques :
  • Développement front et back de nouvelles fonctionnalités avec PHP / Symfony, Twig et Docker
  • Prise en charge d'un pan métier critique, de l'analyse du besoin à la livraison en production
  • Correction des anomalies et amélioration continue du code lors des phases d'homologation et de recette (PHPUnit, Behat)
  • Mise à jour des spécifications techniques et fonctionnelles
  • Accompagnement des membres junior : correction de leurs Merge Requests, support technique et validation de leurs contributions
  • Contribution active à la documentation technique du projet

📈 Cette expérience m'a permis une forte montée en compétence, je suis passé du développement de petites fonctionnalités à la prise en charge d'un pan métier critique.

💬 Toujours curieux et motivé à progresser, j'apprécie autant le travail en équipe que l'autonomie et je reste ouvert aux échanges autour du développement web, des bonnes pratiques et de l'innovation technologique.

Compétences Informatiques

Développement Web

Angular

ReactJS

PHP / Symfony / Twig / SCSS

Java

Javascript / Typescript

HTML / CSS

Bootstrap

PostgreSQL

SQL / PLSQL

MongoDB

PHP

Spring

Express.JS

Node.JS

MySQL

Développement Mobile

Flutter / Dart

React Native

Java

Kotlin

Firebase

Appwrite

SQLite

Room

Développement Logiciel

Python

C#

C++

WLangage

Autres

Maîtrise de Git / Gitlab / Github

Maîtrise de Docker

PHP Unit / Behat / Selenium

Maîtrise de Figma

Maîtrise du système d'exploitation GNU/Linux Ubuntu

Langage de programmation C

Développement VR sur Unity3D

Compétences Professionnelles

Langues

Anglais niveau B2 (930/990 TOEIC - 2023)

Bilingue Allemand

Projets

Méthodes agiles, gestion de projet

Travailler en équipe (planifier, respecter les délais, anticiper les risques, communiquer)

Conception et réalisation d'Interfaces Homme-Machine

Conception et rédaction de la documentation

Qualifications

Formation
Travail

Cycle ingénieur en Systèmes Automatisés et Génie Informatique

Spécialité Cybersécurité École polytechnique de l'université d'Angers - France
2022 - 2024

Semestre à l'étranger

Faculty of Information Technology and Electrical Engineering University of Oulu - Finlande
2022

Cycle ingénieur en Systèmes Automatisés et Génie Informatique

École polytechnique de l'université d'Angers - France
2021 - 2022

DUT Informatique -

3ème de promotion

IUT de Laval - France
2019 - 2021

BAC S

Spécialité Informatique et Science du Numérique Lycée Bertrand d'Argentré - France
2019

  • Développement front et back de nouvelles fonctionnalités avec PHP / Symfony, Twig et Docker
  • Prise en charge d'un pan métier critique, de l'analyse du besoin à la livraison en production
  • Correction des anomalies et amélioration continue du code lors des phases d'homologation et de recette (PHPUnit, Behat)
  • Mise à jour des spécifications techniques et fonctionnelles
  • Accompagnement des membres junior : correction de leurs Merge Requests, support technique et validation de leurs contributions
  • Contribution active à la documentation technique du projet
CGI - Cesson-Sévigné

Alternance de développement logiciel - 33 semaines

  • Développement front et back (de l'accès aux données à la présentation en IHM) avec PHP / Symfony, Twig, Docker
  • Corrections d'anomalies suite aux phases d'homologation et de recette avec PHPUnit, Behat
  • Mise à jour des spécifications techniques et fonctionnelles
CGI - Cesson-Sévigné
2023 - 2024

Stage de développement logiciel - 17 semaines

  • Conception et développement de nouvelles fonctionnalités
  • Corrections d'anomalies suite aux phases d'homologation et de recette
  • Mise à jour des spécifications techniques et fonctionnelles
  • Contacts avec le client afin d'éclaircir des points sur les nouvelles fonctionnalités ou demandes d'évolution
CGI - Cesson-Sévigné
2023

Stage de développement logiciel - 11 semaines

  • Développement et optimisation de modules du logiciel existant
  • Compréhension du besoin utilisateur
  • Programmation orientée objet, administration et gestion de la base de données, réalisation de l'interface
Figecal - Laval
2021

Agent informaticien - 2 semaines

  • Remplacement du matériel informatique
  • Planification des remplacements
  • Travail en équipe, autonomie
Hôpital de Vitré - Vitré
2020

Portfolio

Tout Mobile Logiciel Autres
Développement logiciel

Helium

Afficher les détails
Helium
  • Conception d'un module qui est un outil de planification de tâches

  • Développement de nouveaux modules et optimisation de modules existant

  • Développé en Programmation Orientée Objet (Windev), en SQL et conception de l'interface

Développement mobile

The Dungeon

Afficher les détails
The Dungeon
  • Jeu de labyrinthe dont le but est de remplir les objectifs pour sortir du donjon

  • Création de salles de jeux publiques ou privées, choix des personnages, choix des paramètres

  • Se joue en multijoueur, possibilité d'avoir des amis

  • Développé en Java sur Android Studio

Développement logiciel

Dungeon Game

Afficher les détails
Dungeon Game
  • Reprise du concept du jeu The Dungeon

  • Jouable à la troisième personne en multijoueur sur ordinateur et smartphone

  • Encore en développement

  • Développé en C# sur Unity

Développement mobile

Contrôleur de présence NFC

Afficher les détails
Contrôleur de présence NFC
  • Création d'une plateforme de contrôle de la présence d'étudiants (par exemple durant un examen) par NFC

  • Transmets et reçoit des données d'un Serveur NodeJS grâce à une API REST

  • L'enseignant se connecte à l'application pour voir les présences et les absences

  • Sécurisation de la connexion avec un token JWT

  • Développé en React Native sur Visual Studio Code, avec une API REST en NodeJS et une base de données PostgreSQL

Développement mobile

Olympic Runner

Afficher les détails
Olympic Runner
  • Jeu de course sans fin

  • Classement multijoueur, système de compte

  • Développé en Java sur Android Studio

Développement mobile

Reminder App

Afficher les détails
Reminder app
  • Application permettant de planifier des rappels

  • Ajout, modification, suppression des rappels dans une base de données

  • Système de compte, fonctionnalités vocales et de position

  • Développé en Java sur Android Studio

Réalité virtuelle

Projet de réalité virtuelle

Afficher les détails
Projet de réalité virtuelle
  • Création d'une pièce et familiarisation avec différents outils

  • Développé en C# sur Unity

Réalité virtuelle

Projet de réalité virtuelle

Afficher les détails
Projet de réalité virtuelle
  • Création d'une loupe pouvant être attrapée, permettant de trouver un objet caché

  • Développé en C# sur Unity

Réalité virtuelle

Projet de réalité virtuelle

Afficher les détails
Projet de réalité virtuelle
  • Modélisation des mains et création d'un jeu

  • Développé en C# sur Unity

Big Data

Reddit Community Analysis

Afficher les détails
Reddit Community Analysis
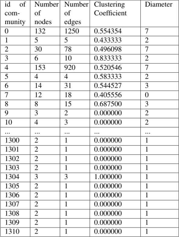
  • Analyser un ensemble de données et construire des graphes permettant d'analyser les données

  • L'ensemble de données contient l'activité de plus de 876 961 utilisateurs de Reddit sur 15 122 subreddits, créés à la mi-2013.

  • Création et analyse des communautés

  • Développé en Python sur Jupyter Notebook

Serveur

Création et administration d'un serveur

Afficher les détails
Création et administration d'un serveur
  • Récupération d'un ancien pc portable

  • Installation de modules permettant l'administration d'un serveur web sur ubuntu

  • Utilisation de Docker, d'un serveur SSH, FTP

Contactez moi

Localisation

Châteaubourg - France

Téléphone

06.33.86.58.13

Email

florian2.mousse@gmail.com

Chat